Гостевая книга
МОСКОВСКИЙ ТЕХНИЧЕСКИЙ КОЛЛЕДЖ
Главная страница
О колледже
Контактная информация
Абитуриентам
Международное образование
Информация работодателям
Студенческая жизнь

Арифметические действия с дробями
Формулы сокращенного умножения
Алгебраические дроби и действия с ними
Линейная функция и ее график
Уравнения первой степени
Прямоугольный треугольник
Системы уравнений первой степени с двумя неизвестными
Уравнения, содержащие неизвестную в знаменателе дроби
Квадратное уравнение
Квадратичная функция и ее график
Квадратное неравенство
Системы уравнений второй степени
Действия со степенями
Тригонометрические функции

Формулы сокращенного умножения

   Формулы сокращенного умножения.
1). 2).
3). 4).
5). 6).
7).

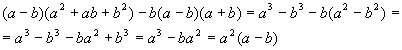
   Решение примеров.
   1. Упростите выражения:
a).
b).

   Задания.
   1. Упростите выражения:
a). b).
c). d).

Hosted by uCoz