Гостевая книга
МОСКОВСКИЙ ТЕХНИЧЕСКИЙ КОЛЛЕДЖ
Главная страница
О колледже
Контактная информация
Абитуриентам
Международное образование
Информация работодателям
Студенческая жизнь

Арифметические действия с дробями
Формулы сокращенного умножения
Алгебраические дроби и действия с ними
Линейная функция и ее график
Уравнения первой степени
Прямоугольный треугольник
Системы уравнений первой степени с двумя неизвестными
Уравнения, содержащие неизвестную в знаменателе дроби
Квадратное уравнение
Квадратичная функция и ее график
Квадратное неравенство
Системы уравнений второй степени
Действия со степенями
Тригонометрические функции

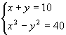
Системы уравнений второй степени

   Решение систем уравнений второй степени методом подстановки.
   Данный метод решения аналогичен такому же методу для решения систем двух линейных уравнений с двумя неизвестными.

   Задания.
   1. Решите систему уравнений:
a). b).
c). d).
e).

Hosted by uCoz