| Системы уравнений первой степени с двумя неизвестными
Способы решения систем уравнений.
1. Метод сложения:
Данный метод решения систем уравнений первой степени с двумя неизвестными состоит в том, что путем сложения двух уравнений мы получаем третье, в котором отсутствует одна из переменных.
2. Метод подстановки:
Данный метод решения систем уравнений первой степени с двумя неизвестными состоит в том, что из одного из уравнений выражаем любую переменную и подставляем это выражение во второе уравнение. Решаем его. Найденное значение подставляем в любое уравнение и находим другую переменную.
Решение примеров.
1. Решите систему уравнения методом сложения:
| a). |
 |
| 1). |
 |
| 2). |
Сложим 2 уравнения и получим: 6y=12 |
| 4). |
Подставим это число в первое уравнение и найдем х: x=7-4.2=-1 |
2. Решите систему уравнения методом подстановки:
| a). |
 |
| 1). |
Из второго уравнения выражаем х: x=3y-6 |
| 2). |
Подставляем полученное выражение в первое уравнение: 2(3y-6)+y=-5 |
| 5). |
Подставим это число во второе уравнение и найдем х: x-3.1=-6 |
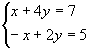
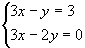
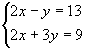
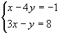
Задания.
1. Решите систему уравнений:
| a). |
 |
b). |
 |
| c). |
 |
d). |
 |
| e). |
 |
|
 |